
1、产品概述
ISG立式单级管道离心泵,采用IS型单级单吸离心泵之性能参数,在一般立式泵的基础上进行巧妙组合设计而成,同时根据使用温度、介质等不同在ISG型基础上派生出适用热水泵、高温耐腐蚀化工泵、油泵。该系列产品具有高效节能、噪音低、性能可靠等优点,符合最新国家机械部JB/T53058-93的标准要求,产品按国际ISO2858标准设计制造。2、应用范围
1)ISG立式管道离心泵,供输送清水及物理化学性质类似于清水的其他液体之用,适用于工业和城市给排水、高层建筑增压送水、园林喷灌、消防增压、远距离输送、暖通制冷循环、浴室等冷暖水循环增压及设备配套,使用温度T<80℃。
2)IRG型立式热水泵适用于冶金、化工、纺织、木材加工、造纸以及饭店、浴室、宾馆等锅炉高温热水增压循环输送以及城市住房采暖循环用泵,使用温度120℃以下。
3)GRG型立式高温离心泵广泛用于:能源、冶金、化工、纺织、造纸以及饭店、浴室、宾馆等锅炉高温热水增压循环输送以及城市住房采暖循环用泵,使用温度240℃以下。
4)IHG型立式不锈钢管道离心泵,供输送不含固体颗粒,具有腐蚀性,粘度类似于水的液体,适用于石油、化工、冶金、电力、造纸、食品制药和合成纤维等部门,使用温度为-20℃ ~ 120℃。
5)YG型管道油泵,供输送汽油、煤油、柴油等石油产品,被输送介质温度为-20℃ ~ + 120℃。
6)IHGB型立式不锈钢防爆型化工离心泵,适用于输送易燃性化工液体。
7)ISGD、IRGD、GRGD、IHGH、YGD、IHGBD型立式低速离心泵,适用于环境噪声要求很低的场合及空调循环等。
3、产品特点
1)ISG泵为立式结构,进出口口径相同,且们于同一中心线上,可象阀门一样安装于管路之中,外形紧凑美观,占地面积小,建筑投入低,如加上防护罩则可置于户外使用.
2)叶轮直接安在电机的加长轴上,轴向尺寸短,结构紧凑,泵与电机轴承配置合理,能有效地平衡泵运转产生的径向和轴向负荷,从而保证了泵的运行平衡振动噪音很低。
3)轴封采用机械密封或机械密封组合,采用进口钛合金密封环、中型耐高温机械密封和采用硬质合金材质,耐磨密封,能有效地增长机械密封的使用寿命。
4)安装检修方便,无需拆动管路系统,只要卸下泵联体座螺母即可抽出全部转子部件。
5)可根据使用要求即流量和扬程的需要采用泵的串、并联运行方式。
6)可根据管路布置的要求采用泵的竖式和横式安装。
4、使用条件及性能参数
1)使用条件
a、 吸入压力≤1.0Mpa,或泵系统最高工作压力≤1.6Mpa,即泵吸入口压力+泵扬程≤1.6Mpa、泵静压试验压力为2.5Mpa。
b、 环境温度<40℃,相对湿度<95%。
c、 所输送介质中固体颗粒体积含量不超过单位体积的0.1%,粒度<0.2mm.
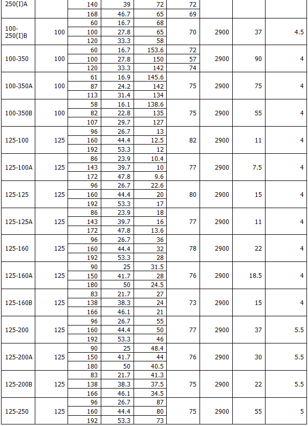
2)性能参数

















5、订货须知


